Featured
- Get link
- X
- Other Apps
Chemical Formula For Cornstarch
Chemical Formula For Cornstarch. Fructose is the main sugar in fruits. Cook until it thickens, then knead until it's smooth.

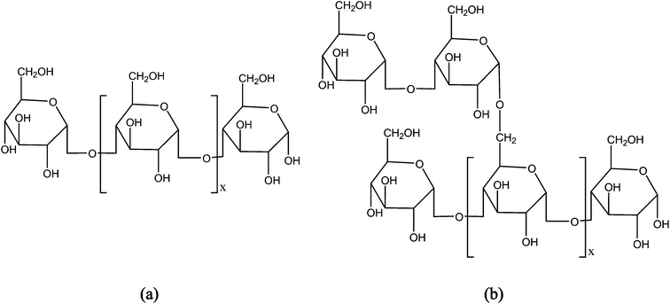
All the latest news related cornstarch chemical formula are here. Components of cornstarch the cornstarch chemical formula is (c6h10o5)n, and cornstarch is usually made up of 27 percent amylose and 73 percent amylopectin. We share widely topic articles of cornstarch chemical formula on echemi.com.
The Starch Is Obtained From The Endosperm Of The Kernel.
Water is the first component in oobleck. Corn syrup is a viscous odorless colorless liquid, more dense than water. What is the chemical structure of starch?
Other Articles Where Cornstarch Is Discussed:
Ca, fe, mg, mn, s, o, h, c, n, na, k, cl, al. Formula>> q=mtcp 2)under the spreading chestnut tree of the. There is only two main components in oobleck, water and cornstarch.
The Simplest Form Of Starch Is The Linear Polymer.
Fructose has the same chemical formula as glucose (c6h12o6), but the atoms are arranged slightly differently. Computing molar mass (molar weight) to calculate molar mass of a chemical compound enter its formula and click 'compute'. Table 1 reveals the chemical composition of corn starch.
Corn Starch Is A Common Food Ingredient, Often Used To Thicken Sauces Or Soups, And To Make Corn Syrup And Other Sugars.
The chemical formula of the starch molecule is (c6h10o5)n. Starch is made up of long chains of sugar molecules that are connected together. Capitalize the first letter in chemical symbol and use lower case for the remaining letters:
Molecular Formulae Indicates The Simple Numbers Of Each Type Of Atom In A Molecule Of A Molecular Substance.
The chemical equation of water is h2o, and for cornstarch it is c27h48o20main chemicals, compounds, components. 1) peter is heating water on the stove to boil eggs for a picnic. Starch has the potential to be nearly 100% digestible as an energy component of livestock feeds.
Popular Posts
Easy Off Oven Cleaner Chemical Formula
- Get link
- X
- Other Apps
Comments
Post a Comment