Featured
Euler's Formula Complex Numbers
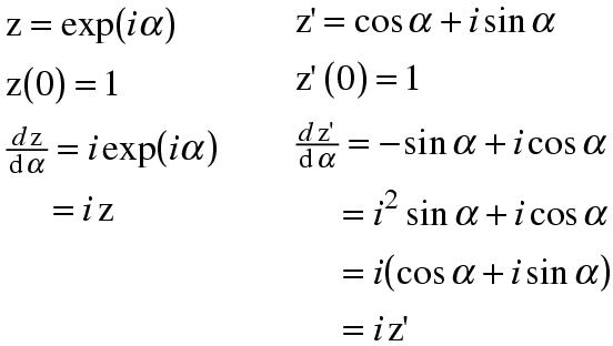
Euler's Formula Complex Numbers. Since = and =, it follows that = +, which yields euler's identity: Complex numbers, and to show that euler’s formula will be satis ed for such an extension are given in the next two sections.

6 + v = 14. Euler's identity is a special case of euler's formula, which states that for any real number x, = + where the inputs of the trigonometric functions sine and cosine are given in radians. Plus the number of vertices.
Around 1740 Leonhard Euler Turned His Attention To The Exponential Function And Derived The Equation Named After Him By Comparing The Series.
Using euler's form it is simple: The e constant is defined as the limit: Using euler's formula, find the number of vertices if the numbers of faces are 6 and the number of edges is 12?
See Also The Interactive That's Based On The Above:
The original operation x^y was only defined when y was a positive integer. Exponential form of complex numbers If we do the formula for the next approximation becomes.
Therefore, Number Of Vertices Are 8.
For complex numbers m and n, such that re m >0 and re n>0. The r and φ are polar coordinates of the complex number, while n is the polynomial’s degree, and k is the root’s index, starting at zero. 6 + v = 12 + 2.
Excellent 3D Version Of The Spiral That You Can Rotate On The Screen (Using A Java Applet) And One Also For The Lucas Numbers Formula!
The roots can be displayed on the complex plane as regular polygon vertexes. In spite of this it turns out to be very useful to assume that there is a number ifor which one has (1) i2 = −1. The definition and domain of exponentiation has been changed several times.
Any Complex Number = + Can Be Represented By The Point.
In this chapter we will look at several of the standard solution methods for first order differential equations including linear, separable, exact and bernoulli differential equations. Plus the number of vertices. For a different complex function based on binet's formula,.
Popular Posts
Easy Off Oven Cleaner Chemical Formula
- Get link
- X
- Other Apps
Comments
Post a Comment